Допоможіть, будь ласка!!!
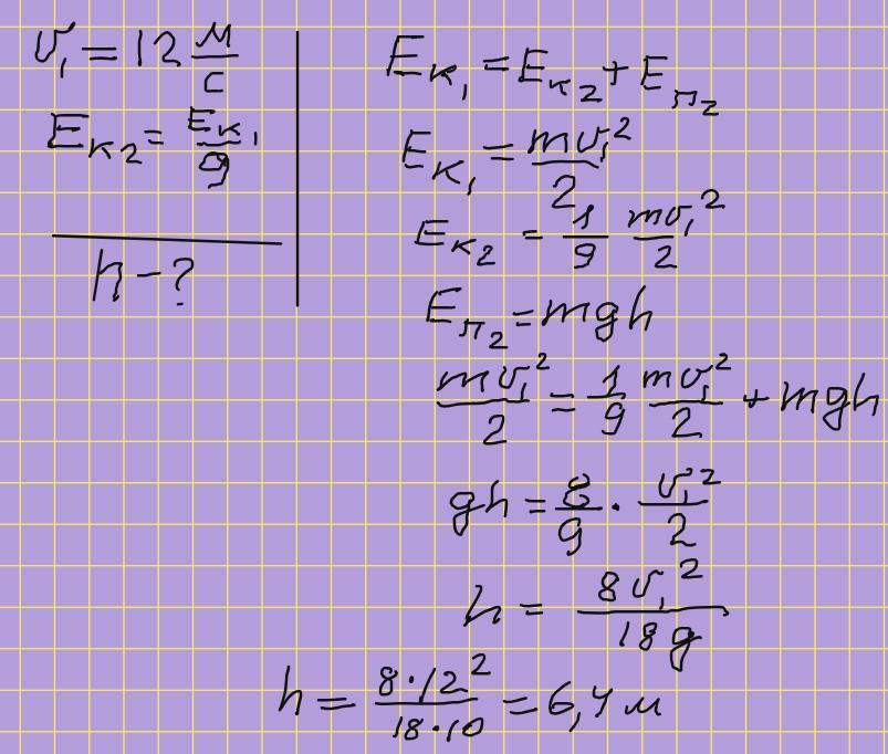
Камінь підкинули вгору з початковою швидкістю 12 м/с. Опором повітря можна знехтувати. Кінетична енергія каменя зменшилася в 9 разів на висоті:
А 1,6 м
Б 3,2 м
В 6,4 м
Г9,6 м
Задачу розписати з Дано і розв'язком, дякую!
Ответы
Ответ дал:
6
Ответ: В 6,4 м
Объяснение:
Приложения:

vikyssyaaaa:
Велике Дякую Вам!!!!!
Вас заинтересует
2 года назад
2 года назад
2 года назад
8 лет назад
8 лет назад
9 лет назад