Ответы
Ответ дал:
0
4%×25=100% отсюда следует что. 12×25=300
Ответ:300 лампочек.
Ответ дал:
1
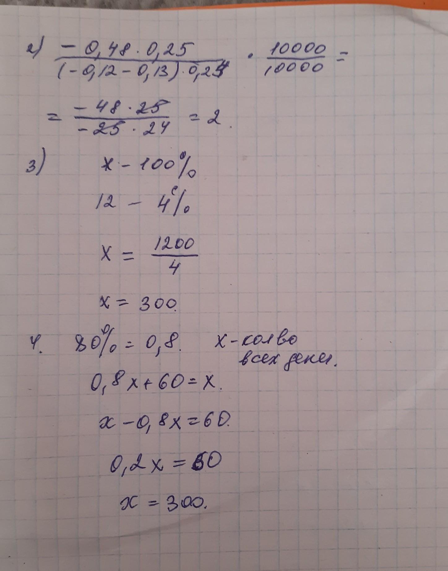
см фото,,,,,,,,,,,,,,,,,,,,,,,,,,,,
Приложения:

Вас заинтересует
2 года назад
2 года назад
2 года назад
8 лет назад