Ответы
Ответ дал:
0
Ответ:
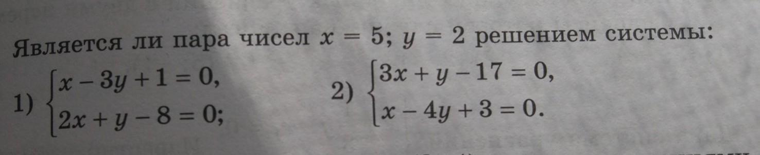
а) не является
б) является
Пошаговое объяснение:
Подставим значение в а) 5-3*2+1=0, тут получается, а во втором нет, 2*5+y-8≠0
Во втором равняется б) 3*5+2-17=0, 5-8+3=0.
а) не является
б) является
Пошаговое объяснение:
Подставим значение в а) 5-3*2+1=0, тут получается, а во втором нет, 2*5+y-8≠0
Во втором равняется б) 3*5+2-17=0, 5-8+3=0.
Ответ дал:
0
Ответ:
подходит только ко второму
Пошаговое объяснение:
3×5+2-17=0 15+2-17=0 0=0
5-4×2+3=0 5-8+3=0 0=0
Вас заинтересует
2 года назад
2 года назад
3 года назад
3 года назад
8 лет назад
8 лет назад
10 лет назад
10 лет назад