• Предмет: Математика
  • Автор: adamiandiana65
  • Вопрос задан 7 лет назад

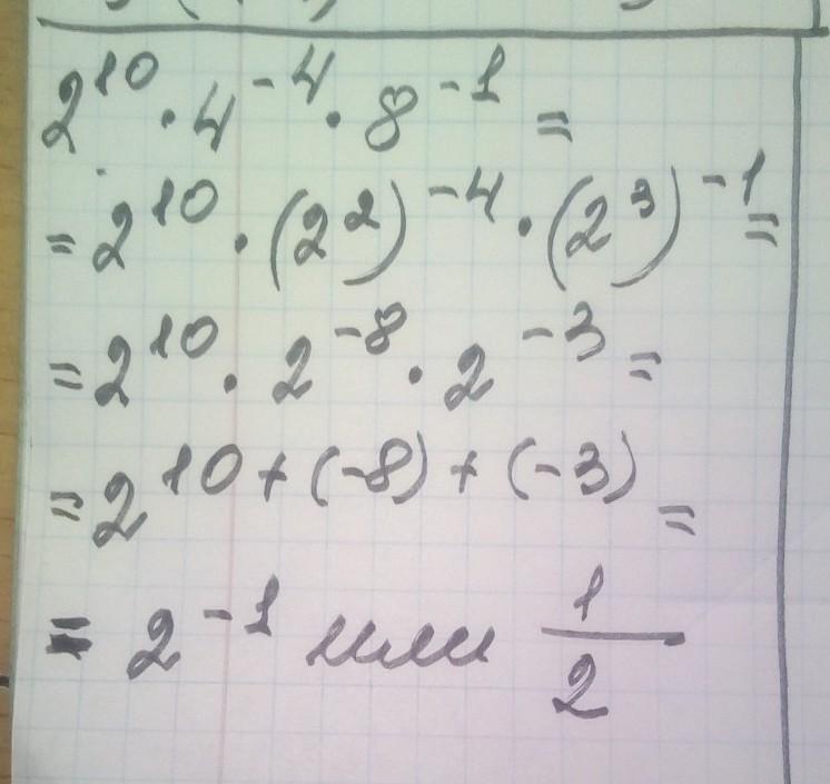
Пожалуйста, шаг за шагом, напишите этот пример, у меня экзамены, и я не могу вспомнить, как мы считали, пожалуйста.

2^10 × 4^−4 × 8^−1

Ответы

Ответ дал: manyny06
1

Ответ:

решение смотри на фотографии

Приложения:
Вас заинтересует