• Предмет: Математика
  • Автор: Аноним
  • Вопрос задан 7 лет назад

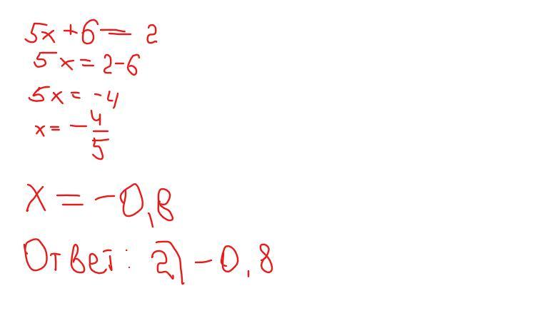
розвязати рівняння 5x+6=2
1)0.8 2)-0.8 3)1.6 4)-1.6

Ответы

Ответ дал: koselnikovaa
1

Відповідь:

Покрокове пояснення:

отметь пожалуйста как лутший ответ)

Приложения:
Вас заинтересует