• Предмет: Алгебра
  • Автор: JokerFase
  • Вопрос задан 7 лет назад

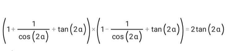
Докажите тождество
Пожалуйста, помогите с примером

Приложения:

Ответы

Ответ дал: m11m
1

Ответ:

Объяснение:

!!!!!!!!!!!!!!!!!!!!!!!!

Приложения:

JokerFase: Спасибо ❤
Вас заинтересует