• Предмет: Алгебра
  • Автор: Аноним
  • Вопрос задан 7 лет назад

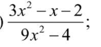
Скоротіть дріб
-------------

Приложения:

Ответы

Ответ дал: Аноним
0

\displaystyle \frac{3x^2-x-2}{9x^2-4}=\frac{3x^2+2x-3x-2}{(3x-2)(3x+2)}=\frac{x(3x+2)-(3x+2)}{(3x-2)(3x+2)}=\frac{(3x+2)(x-1)}{(3x-2)(3x+2)}=\\\frac{x-1}{3x-2}\\

Вас заинтересует