• Предмет: Алгебра
  • Автор: anastasiakosteva70
  • Вопрос задан 7 лет назад

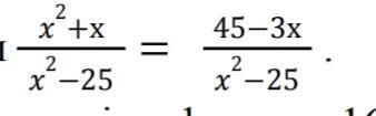
ПОЖАЛУЙСТА, РЕШИТЕ УРАВНЕНИЕ НА КАРТИНКЕ

Приложения:

Ответы

Ответ дал: Аноним
1

\displaystyle \frac{x^2+x}{x^2-25}=\frac{45-3x}{x^2-25},x\neq -5,x\neq 5\\ \\x^2+x=45-3x\\ x^2+x-45+3x=0\\x^2+4x-45=0\\x^2+9x-5x-45=0\\x(x+9)-5(x+9)=0\\(x+9)(x-5)=0\\x+9=0,x-5=0\\x=-9,x=5 \rightarrow x\neq 5\\x=-9

Вас заинтересует