• Предмет: Алгебра
  • Автор: shubeninleha20
  • Вопрос задан 7 лет назад

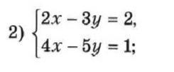
Решите методом подстановки систему линейных уравнений

Приложения:

Ответы

Ответ дал: evatkachuk07
1

Ответ:

вот......

Объяснение:

____________

Приложения:
Вас заинтересует