• Предмет: Математика
  • Автор: dariakaldani
  • Вопрос задан 7 лет назад

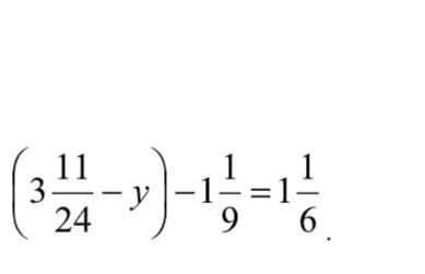
Здравствуйте, помогите решить пожалуйста это уравнение .

Приложения:

Ответы

Ответ дал: thecyberbra1n
1

Ответ:

Ответ на картинке. Кстати, если интересно, то программа называется Photomath

Приложения:
Вас заинтересует