• Предмет: Геометрия
  • Автор: olesyapetrenko76
  • Вопрос задан 7 лет назад

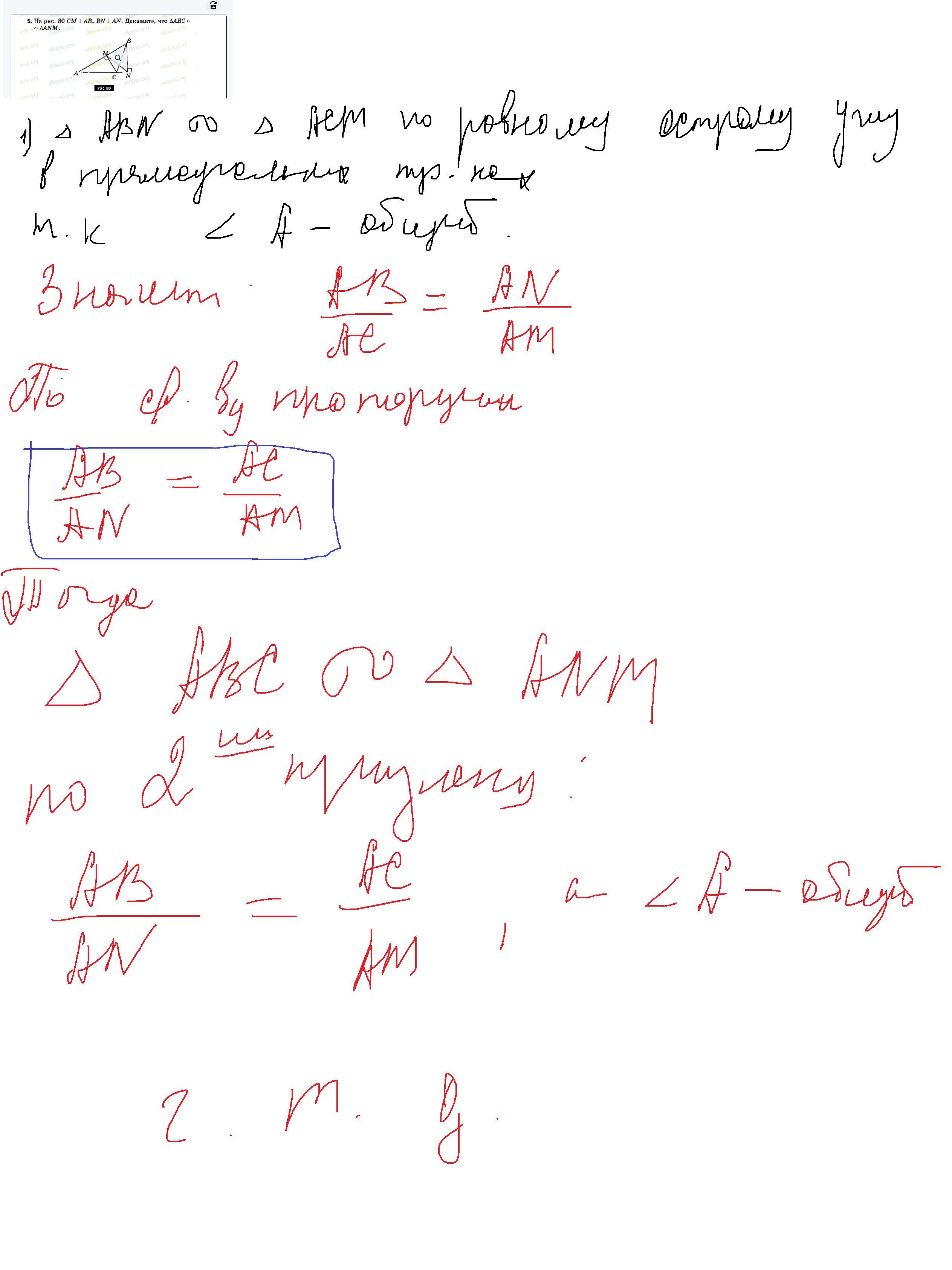
Решите задачу. CM пендикулярна AB ; BN пендикулярна AN . Докажите , что треугольник ABC подобен треугольнику ANM.

Приложения:

Ответы

Ответ дал: vikll
1

Ответ:

Объяснение:Решите задачу. CM пендикулярна AB ; BN пендикулярна AN .

Приложения:
Вас заинтересует