• Предмет: Физика
  • Автор: xjawug
  • Вопрос задан 7 лет назад

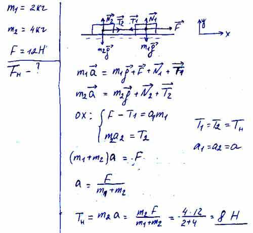
Два бруски масами 0,2кг і 0,4кг зв'язані не вагомою ниткою, лежать на гладенькiй горизонтальній поверхні. З якою силою можна тягти перший брусок, щоб нитка між брусками не розірвалась, якщо вона витримує 8H?​

Ответы

Ответ дал: anastasiaozereleva0
1

Ответ:вот пример, попробуй решить по ненему

Объяснение:

Приложения:
Вас заинтересует