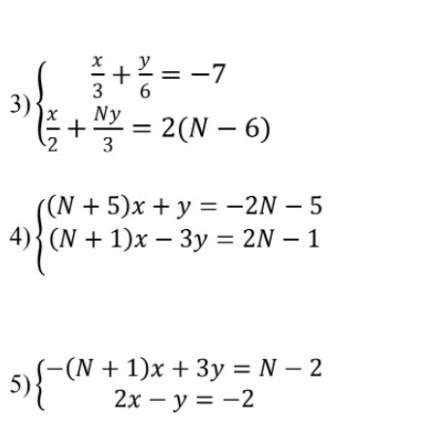
Рішіть будь-ласка рівнання способом додавання!!!Будь-ласка розпишіть як ві розвязали рівняння!Даю 50 балів!!!N=8!!!
Приложения:

Ответы
Ответ дал:
1
3) x=-21-(y/2) => -10.5-(y/4)+(8y/3)=4
29y/12=10.5+4 => y=6, x=-21-6/2=-24
4)y=-21-13x => 9x-3(-21-13x)=15
48x=-48 =>x=-1,y=-21-(-1)=20
5) y=2x+2=> -9x+3(2x+2)=7
3x=-1 =>x=-1/3, y=4/3
tim346tim346:
Если вам удобно пожалуйста напишите на листочке
Ответ дал:
1
Решение.
Метод сложения решения систем уравнений . Умножаем уравнение на число и складываем его со вторым уравнением (возможно 2 уравнение тоже надо будет умножить на какое-то число) .
Ответ: (-24;6) .
Ответ: (-1;-8) .
Ответ: (0;2) .
Вас заинтересует
2 года назад
2 года назад
2 года назад
2 года назад
8 лет назад
8 лет назад
9 лет назад
9 лет назад