• Предмет: Алгебра
  • Автор: lizapogorelaia66
  • Вопрос задан 7 лет назад

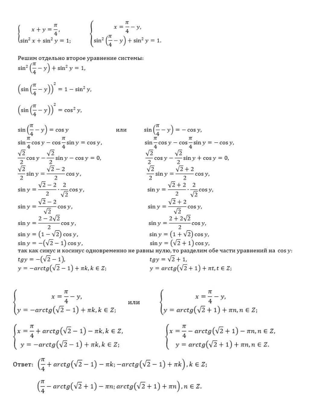
ДАЮ 30 БАЛЛОВ!!!!!!!!! ПОМОГИТЕ срочно​

Приложения:

Ответы

Ответ дал: arinaeg20
0

Попробую решить 2 номер, но точно не скажу решу его или нет

Приложения:
Вас заинтересует