• Предмет: Физика
  • Автор: ma7i7iq1q1q1
  • Вопрос задан 7 лет назад

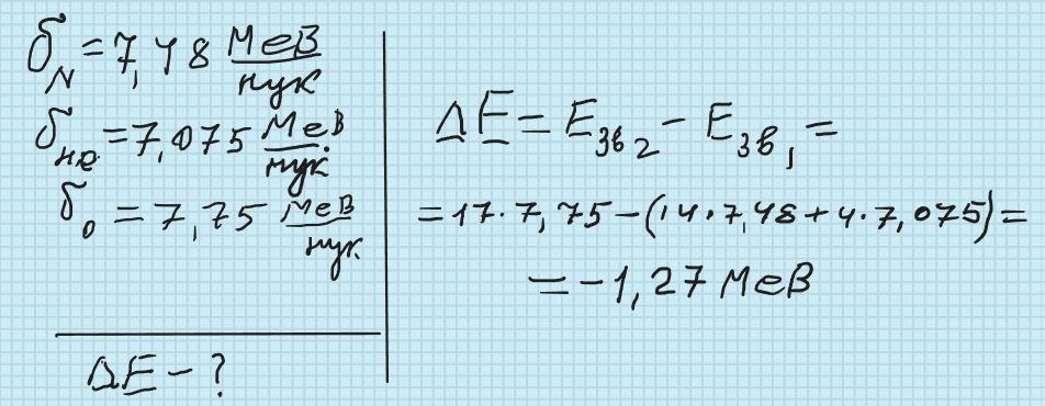
изначити енергетичний вихід ядерної реакції, 7N14+4He2 →1H1+ 17O8 якщо питома енергія зв’язку у ядра азоту 7,48 МеВ/нук, у ядра гелію – 7,075 МеВ/нук, у ядра атому ізотопу кисню – 7,75 МеВ/нук. (-1,27 МеВ)

Ответы

Ответ дал: zybkov1950
0

Ответ :-1,27 МеВ

Объяснение:

Приложения:
Вас заинтересует