• Предмет: Математика
  • Автор: Аноним
  • Вопрос задан 7 лет назад

Пожалуйста срочно

15 баллов!!
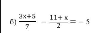
Уравнение

Приложения:

Ответы

Ответ дал: MatemaT123
3

Ответ:

3

Пошаговое объяснение:

\dfrac{3x+5}{7}-\dfrac{11+x}{2}=-5 \quad \bigg | \cdot 14

2(3x+5)-7(11+x)=-70;

6x+10-77-7x=-70;

-x-67=-70;

-x=-70+67;

-x=-3;

x=3;

Вас заинтересует