СРОЧНО ПЖ !!!!!!!!!!!!!!!!!!!!!!!!!!!
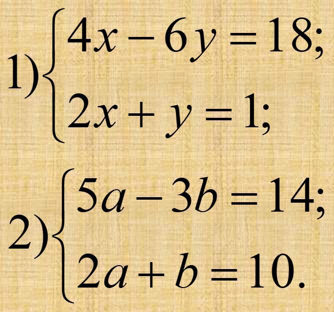
Розв’язати систему рівнянь з двома змінними методом підстановки 1 и 2
Приложения:

Ответы
Ответ дал:
1
Дивіться фото....................
Приложения:

Аноним:
А можеш ще графiк накреслить ато я не понiмаю пж
Вас заинтересует
2 года назад
2 года назад
2 года назад
8 лет назад
8 лет назад
9 лет назад