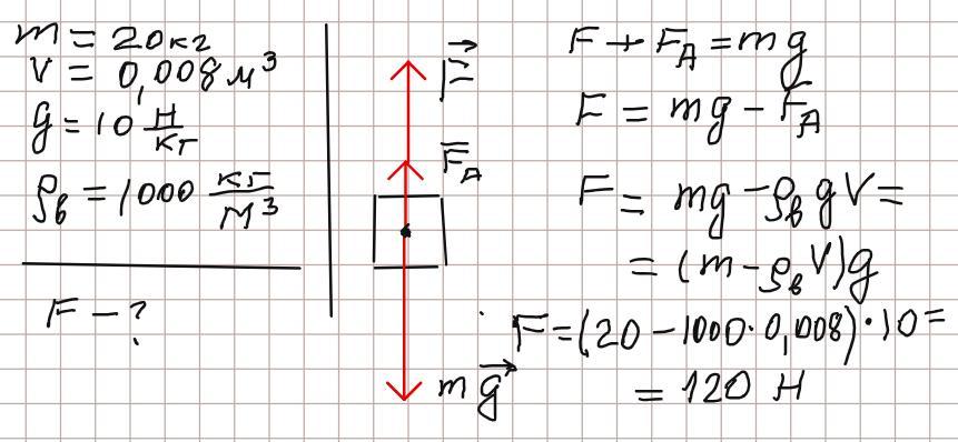
100 БАЛЛОВ!!!!!ПОМОГИТЕ ПОЖАЙЛУСТА ОЧЕНЬ СРОЧНО. Яку силу потрібно докласти для підіймання під водою каменю масою 20
кг, об*єм якого дорівнює 0,008 м3?
Ответы
Ответ дал:
1
Відповідь: 120 Н
Пояснення:
Приложения:

777nastenkamail:
спасибо огромное!!
Вас заинтересует
2 года назад
2 года назад
2 года назад
8 лет назад
9 лет назад