-3/4 это дробь*(x)+23,25=-3 пж
arseniynt:
помогите
Ответы
Ответ дал:
0
Ответ:
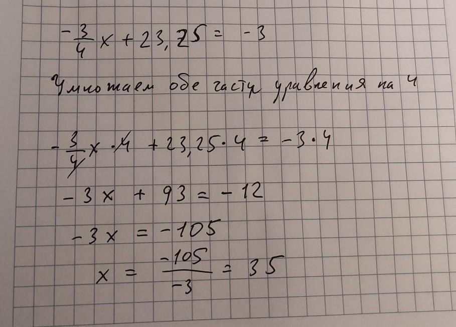
смотри на фото. получилось
Приложения:

Ответ дал:
0
Ответ:
х₁ = 35 х₂ = -35
Пошаговое объяснение:
-3/4IxI + 23,25 = -3
-0,75IxI = -3 - 23,25
-0,75IxI = -26,25
x = -26,25/(-0,75) х₁ = -2625/(-75) х₁ = 35
-х = -26,25/(-0,75) -х₂ = -2625/(-75) х₂ = -35
Вас заинтересует
2 года назад
2 года назад
2 года назад
2 года назад
8 лет назад
8 лет назад
9 лет назад