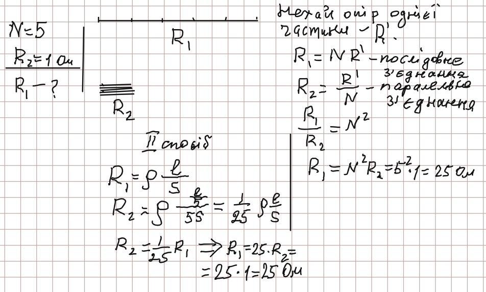
Дріт, шо має по всій довжин однакову плоиу поперечного нерерізу, розрі зали на 5 рів- них частин, які зв'язали потім у щльний пучок. Ошр пучка виявилося рівним 1 Ом. Яке був onip дроту до розрізування"
Помогите пожалуйста
Ответы
Ответ дал:
1
Відповідь: 25 Ом
Пояснення:
Приложения:

Вас заинтересует
2 года назад
2 года назад
2 года назад
8 лет назад
8 лет назад
9 лет назад