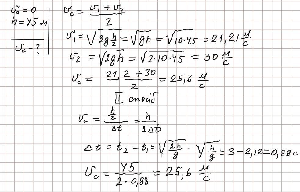
Тiло падає без початкової швидкості з висоти 45 м. Знайти середню швидкость на другій половині шляху. (25,6 м/с)
Ответы
Ответ дал:
1
Відповідь: 25,6 м/с
Пояснення:
Приложения:

Вас заинтересует
2 года назад
2 года назад
2 года назад
8 лет назад
8 лет назад
9 лет назад
9 лет назад