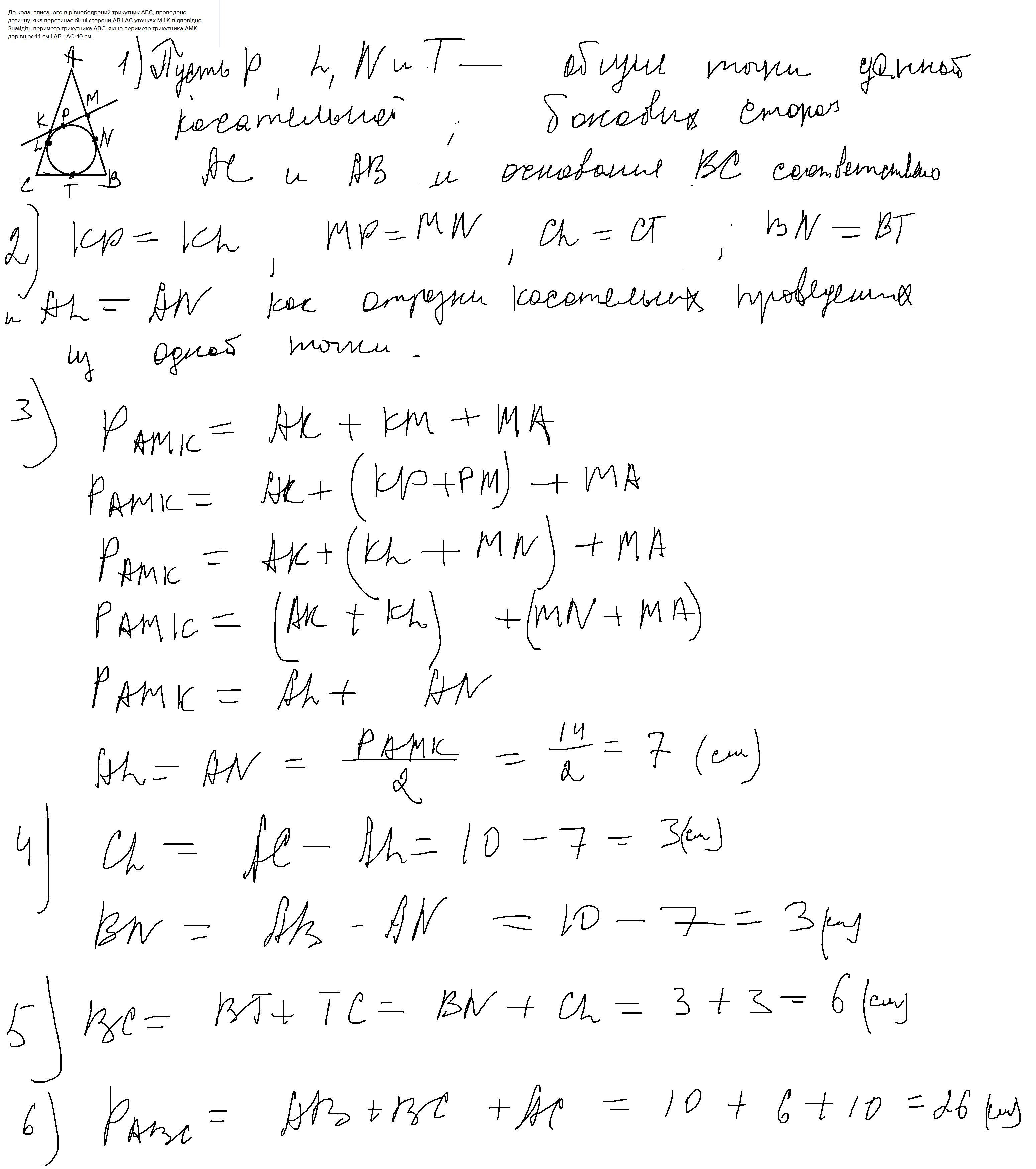
До кола, вписаного в рівнобедрений трикутник ABC, проведено дотичну, яка перетинає бічні сторони АВ і АC уточках М і К відповідно. Знайдіть периметр трикутника АВС, якщо периметр трикутника АМK дорівнює 14 см і AB= АС=10 см.
Ответы
Ответ дал:
2
Ответ:
Объяснение:До кола, вписаного в рівнобедрений трикутник ABC,
Приложения:

AndrievskiyIvan:
что в первой строке написано?
Вас заинтересует
2 года назад
2 года назад
2 года назад
8 лет назад
8 лет назад
9 лет назад
9 лет назад