Помогите, умоляю!!!!!!!Прошу.. Из за войны я пропустила очень много, а теперь физически не могу сколько зделать, умоляю решите задания!!!Дам много балов. Только чтобы всё правильно было, прошу.....
....
1 потрібно (а, б, в)
2 потрібно (а,б)
Приложения:

Ответы
Ответ дал:
0
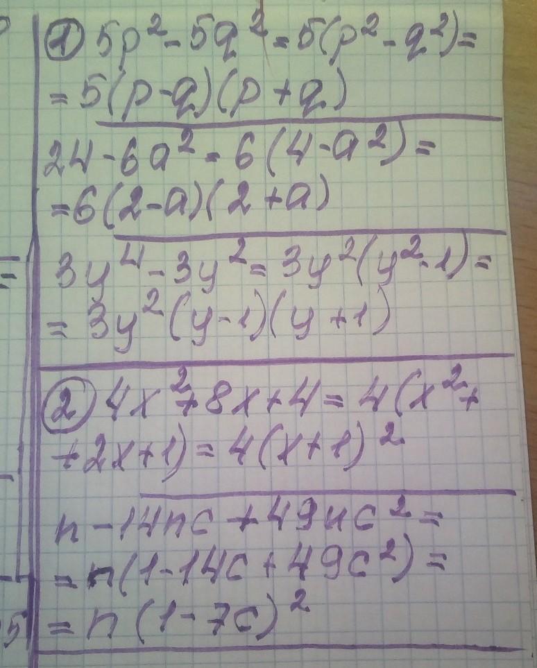
Номер 1
а) 5p^2-5q^2 = 5*(p-q)*(p+q)
б)24-6a^2= 6*(2-a)*(2+a)
в)3y^4-3y^2= 3y^2*(y-1)*(y+1)
Номер 2
а)4x^2+8x+4= 4(x+1)^2
б)n-14cn+49nc^2n= n*(1-7c)^2
а) 5p^2-5q^2 = 5*(p-q)*(p+q)
б)24-6a^2= 6*(2-a)*(2+a)
в)3y^4-3y^2= 3y^2*(y-1)*(y+1)
Номер 2
а)4x^2+8x+4= 4(x+1)^2
б)n-14cn+49nc^2n= n*(1-7c)^2
Ответ дал:
0
Ответ:
решение смотри на фотографии
Приложения:

Аноним:
Умоляю помогите, срочно!!!!!!
Вас заинтересует
2 года назад
2 года назад
2 года назад
8 лет назад
8 лет назад
9 лет назад