Представьте, что к вам обратился ваш знакомый с просьбой проверить расчёт суммы, которую он должен вернуть микрофинансовой организации.
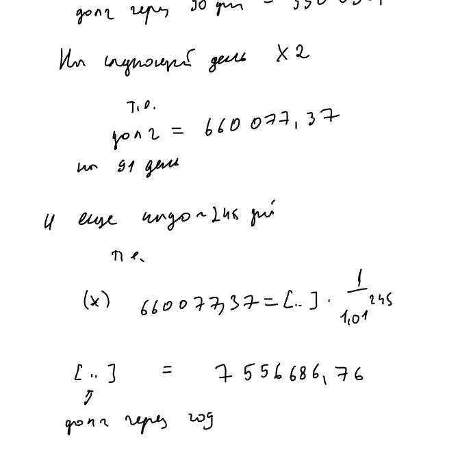
Кредит взят в размере 100 000 рублей сроком на 1 месяц под 1 % ежедневно. Рассчитайте, какую сумму ваш знакомый должен отдать организации через 30 дней.
Рассчитайте также формулу начисления долга в случае просрочки платежа, если известно, что скорость начисления долга пропорциональна сумме долга на день начисления в рассматриваемый период времени t. Известно также, что через 90 дней сумма долга удваивается. Какую сумму придётся платить вашему знакомому через 1 год после просроченного срока?
Ответы
Ответ дал:
1
Ответ:
см приложения
Объяснение:
Приложения:



Вас заинтересует
2 года назад
2 года назад
2 года назад
2 года назад
9 лет назад