• Предмет: Математика
  • Автор: sywkrhwowk
  • Вопрос задан 7 лет назад

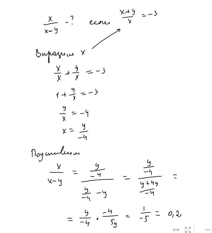
Вычислите значение выражения

Приложения:

Ответы

Ответ дал: Гурлей
2

Ответ:

ответ 0.2 т.е D)

Пошаговое объяснение:

Приложения:
Ответ дал: Аноним
1

Ответ:

D) 0.2

Пошаговое объяснение:

-3х=х+у⇒у=-4х

х/(х-у)=х/(х-(-4х))=х/(5х)=1/5=0.2

Вас заинтересует