• Предмет: Математика
  • Автор: kartavtseva1207
  • Вопрос задан 7 лет назад

АС
Перо в деление Маск Воо
GETGE
22
Точно
R
Перея
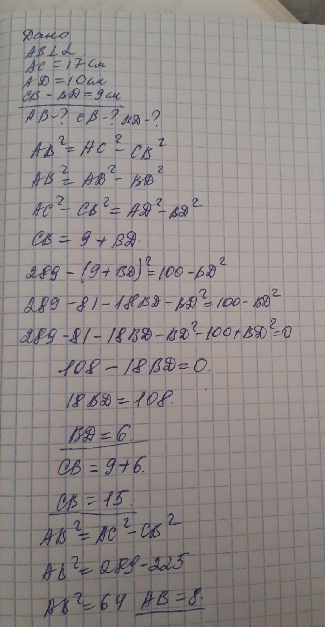
Із деякої точки проведено до площини дві похилі і перпендикуляр.
Нехай AB Ia. AC = 17 см, AD = 10 СМ, СВ – BD = 9 СМ.
ЯВ, СВ, В% -? я
х
о
10
3
ҳt 9
2
х-
R
.
Страница 4 09 често
3 ретраной
MAT

Приложения:

Ответы

Ответ дал: bahytgulkabylainova
1

Пошаговое объяснение:

см фото,,,,,,,,,,,,,,,,,,,,,

Приложения:
Вас заинтересует