Ответы
Ответ дал:
1
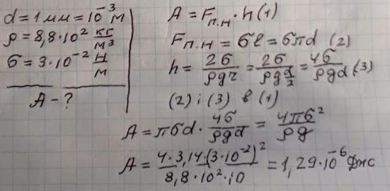
Відповідь: 1,29 мкДж
Пояснення:
Приложения:

Вас заинтересует
2 года назад
2 года назад
2 года назад
8 лет назад
9 лет назад