Ответы
Ответ дал:
2
Решение на фотографии
Приложения:

Ответ дал:
2
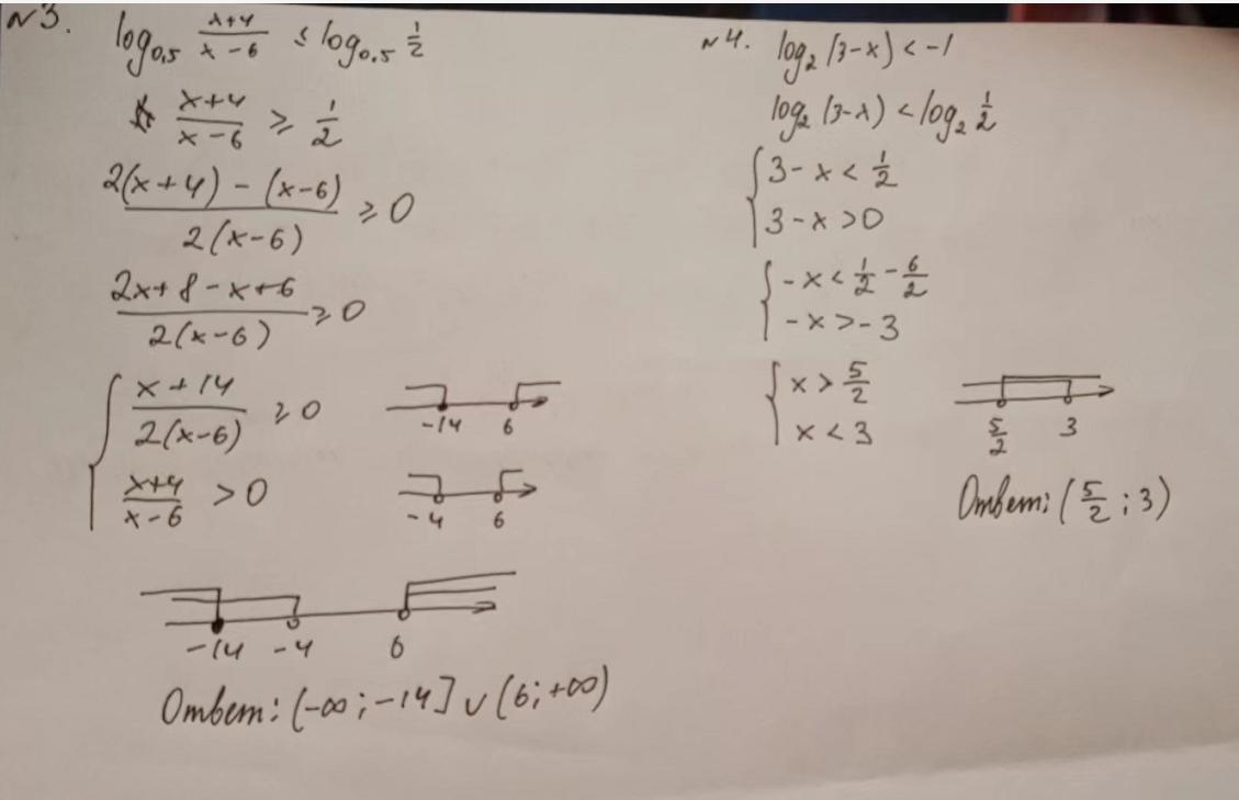
Решение.
ОДЗ: выражение под знаком log строго больше 0 ,
знаки: +++++(-4) - - - - - (6)+++++
Основание логарифма 0<0,5<1 , поэтому это убывающая функция, и знак между аргументами логарифмической функции будет противоположным .
знаки: +++++ [-14] - - - - (6) +++++
C учётом ОДЗ ответ: .
ОДЗ:
Логарифмическая функция с основанием 2>1 возрастающая, поэтому знак между аргументами логарифмической функции будет таким же .
Учтём ОДЗ:
Ответ: .
Вас заинтересует
2 года назад
2 года назад
2 года назад
2 года назад
8 лет назад
9 лет назад