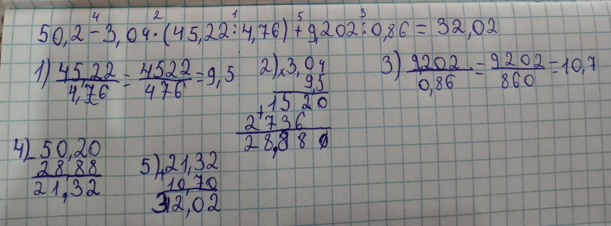
2 Номер 1 Я уже зделал Срочно Нужно. надо В Столбик и так.
Напишите в пустую Бумагу и Отправьте Мне Скрин. пж
Приложения:

Ответы
Ответ дал:
1
Вот ответ Пожалуйста если что
Приложения:

Вас заинтересует
2 года назад
2 года назад
2 года назад
8 лет назад
9 лет назад
9 лет назад