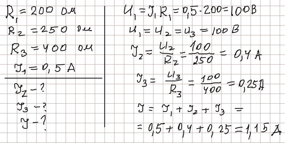
Три лампи з‘єднано паралельно. Опір першої 200 Ом, другої – 250 Ом, третьої – 400 Ом. Сила струму у першій лампі 0,5 А. Яка сила струму у інших лампах та у загальній частині цієї ділянки?
ВикаБач:
1/R=1/200+1/250+1/400=10/2000+8/2000+5/2000=23/2000; R=2000/23=86.96ом. U=U1=I1*R1=0.5*200=100в; I2=U/R2=100/250=0.4A; I3=U/R3=100/400=0.25A; I=U/R=100/(2000/23)=2300/2000=23/20=1.15A;
Ответы
Ответ дал:
1
Відповідь: Див. додаток
Пояснення:
Приложения:

Вас заинтересует
2 года назад
2 года назад
2 года назад
8 лет назад
9 лет назад