• Предмет: Алгебра
  • Автор: Natya132
  • Вопрос задан 7 лет назад

Решите очень срочно!!!!!!!!!!!

Приложения:

Ответы

Ответ дал: FrozenTears
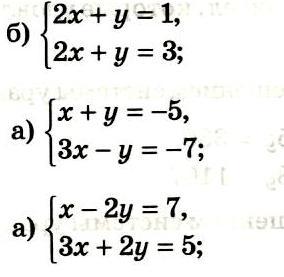
1

б) \left \{ {{2x+y=1} \atop {2x+y=3}} \right.

Нет решений, так как коэффициенты при переменных совпадают, а свободные члены не равны.

а) \left \{ {{x+y=-5} \atop {3x-y=-7}} \right.

Складываем уравнения.

4х=-12

х=-3

-3+у=-5

у=-2.

а) \left \{ {{x-2y=7} \atop {3x+2y=5}} \right.

Складываем уравнения.

4х=12

х=3

3-2у=7

-2у=4

у=-2

Вас заинтересует