Ответы
Ответ дал:
1
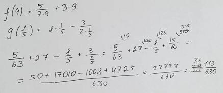
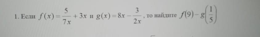
Решение на фотографии
Приложения:

madinakadyr26:
Спасибо
Вас заинтересует
2 года назад
2 года назад
2 года назад
2 года назад
8 лет назад
8 лет назад
9 лет назад