• Предмет: Математика
  • Автор: 777dashok777
  • Вопрос задан 7 лет назад

помогите пожалуйста


Приложения:

Ответы

Ответ дал: BrawllStarss
0

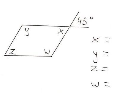
если фигура на фото - параллелограмм то тогда по свойству углов параллелограмма:

x = z = 45°

y = w = 180° - 45° = 135°

Ответ дал: igoreshecha2000
0

Ответ:

х=45

у=135

z=45

w=135

Пошаговое объяснение:

просто просто

Вас заинтересует