• Предмет: Алгебра
  • Автор: asasindro18
  • Вопрос задан 7 лет назад

плиз может пошагово ​

Приложения:

Ответы

Ответ дал: FrozenTears
0

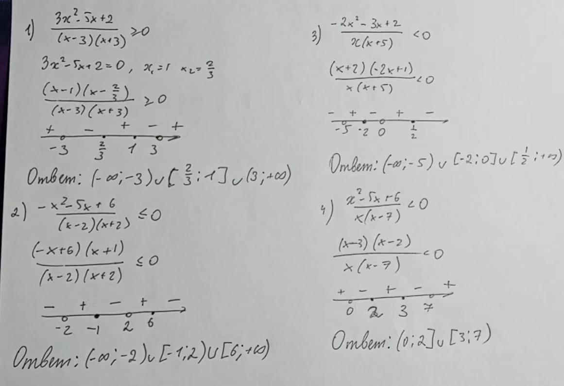
Решение на фотографии

Приложения:
Вас заинтересует