• Предмет: Алгебра
  • Автор: miamil
  • Вопрос задан 7 лет назад

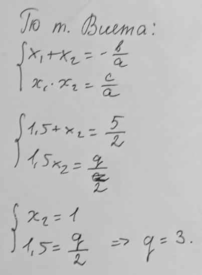
Решите уравнение
2 {x}^{2}  - 5x + q = 0
если один из его корней равен 1,5. Найти второй корень и q. Срочно!!!! ​

Ответы

Ответ дал: turkmenistan225
2

2x - 5x + q = 0 \\  - 3x + q = 0 \\ (2 - 5)x \\ q = 3x

Ответ дал: FrozenTears
1

Решение на фотографии

Приложения:
Вас заинтересует