• Предмет: Геометрия
  • Автор: r1zeeen3
  • Вопрос задан 7 лет назад

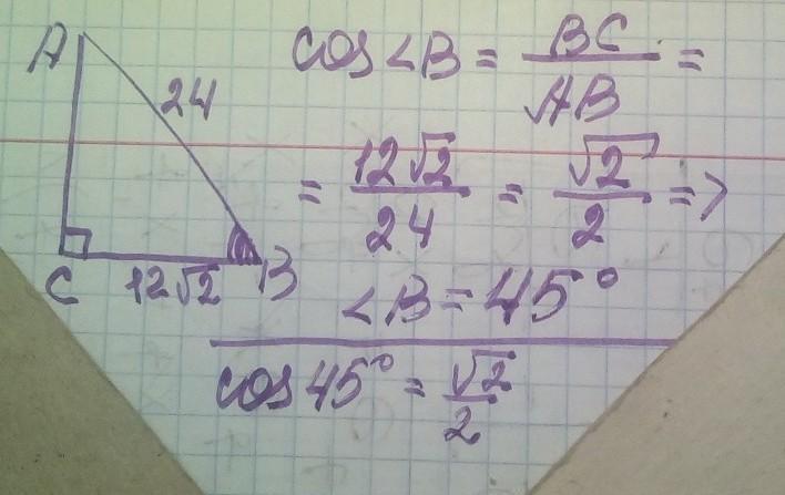
В треугольнике ABC угол C равен 90∘, BC=12√2, AB=24. Найдите угол B (ответ дайте в градусах).

Ответы

Ответ дал: manyny06
1

Ответ:

решение смотри на фотографии

Приложения:

r1zeeen3: огромное спасибо
Ответ дал: alexa3158
1
Вроде так…Но можно и без т.Пифагора
Приложения:
Вас заинтересует