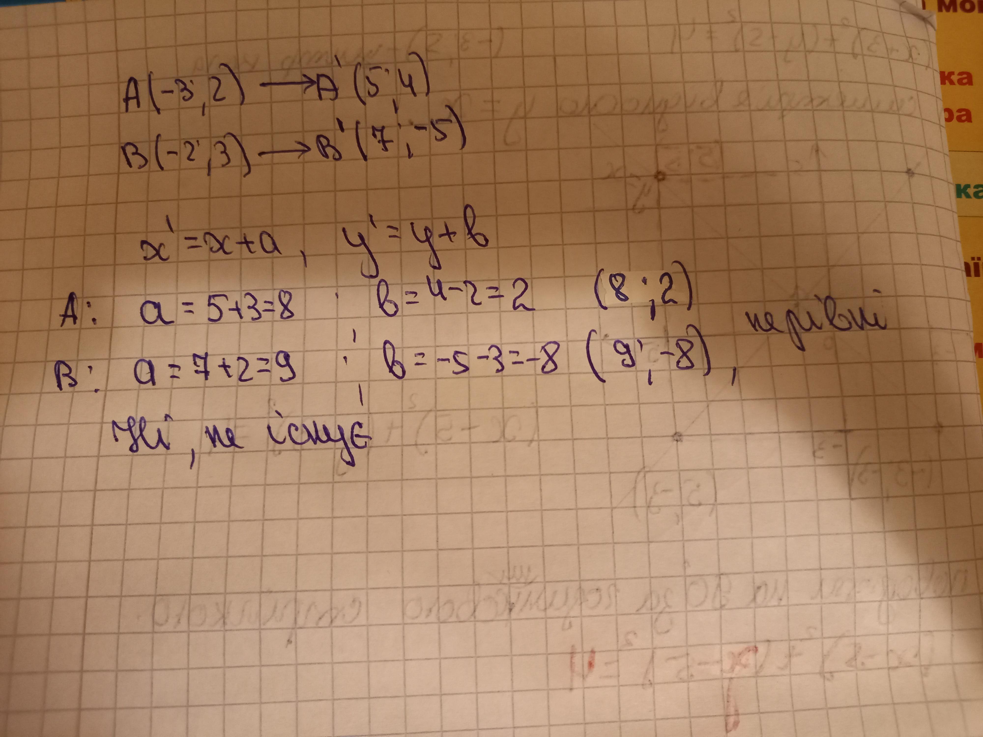
Чи існує паралельне перенесення таке, яке переводить точку А(-3;2) в точку А'(5;4) і точку В(-2;3) в точку В-(7;-5)
Ответы
Ответ дал:
1
Відповідь:
Пояснення:
розв'язання завдання додаю
Приложения:

Вас заинтересует
2 года назад
2 года назад
2 года назад
2 года назад
8 лет назад
8 лет назад
9 лет назад
9 лет назад