• Предмет: Алгебра
  • Автор: c4iock0
  • Вопрос задан 7 лет назад

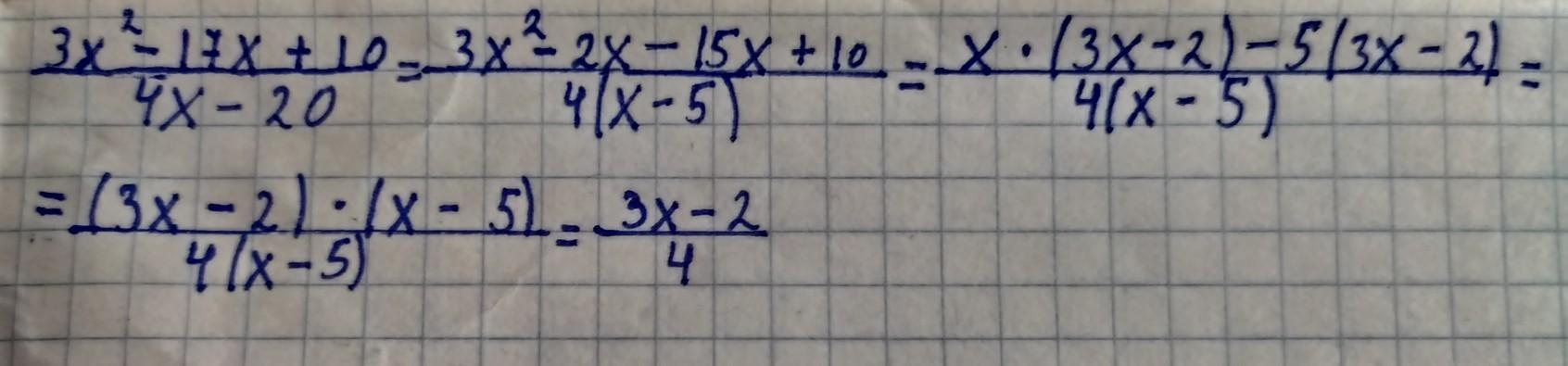
Сократите дробь:
Помогите пожалуйста

Приложения:

Ответы

Ответ дал: Skel1y
2

Ответ:

3x-2/4

Объяснение:

3x2-2x-15x+10/4(x-5)

x*(3x-2)-5(3x-2)/4(x-5)

(3x-2)*(x-5)/4(x-5)

3x-2/4

Приложения:
Ответ дал: lifeviola1
1

Объяснение:

 \frac{3x - 2}{4}

Вас заинтересует