• Предмет: Алгебра
  • Автор: emirhanmaksatbekovic
  • Вопрос задан 7 лет назад

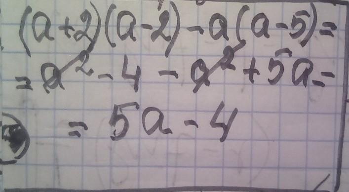
Упростите выражение
(а+2)(а-2)-а(а-5)​

Ответы

Ответ дал: fapfop4
0

Ответ:

(а-2)(а+2)-а(а-5)=а⁴-4-а²+5а=-4+5а

Ответ дал: manyny06
0

Ответ:

решение смотри на фотографии

Приложения:
Вас заинтересует