• Предмет: Алгебра
  • Автор: violettalukia
  • Вопрос задан 7 лет назад

прошу решить до завтра очень срочно ​

Приложения:

Ответы

Ответ дал: kira1519
1

Ответ:

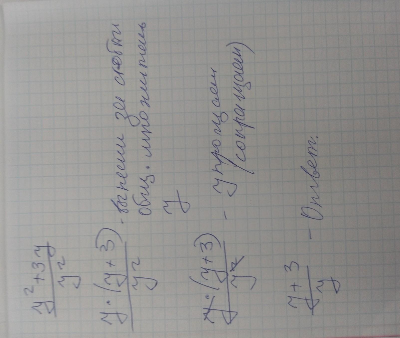
y^2+3y/y^2=y(y+3)/y^2=y+3/y


violettalukia: спасибо
Ответ дал: laurenstronde
1

Ответ:

выносим за скобки общ.множитель у

потом сокращаем у и степень у² в знаменателе

и ответ: y+3/y

Приложения:

violettalukia: спасибо
Вас заинтересует