• Предмет: Алгебра
  • Автор: fuze1921
  • Вопрос задан 7 лет назад

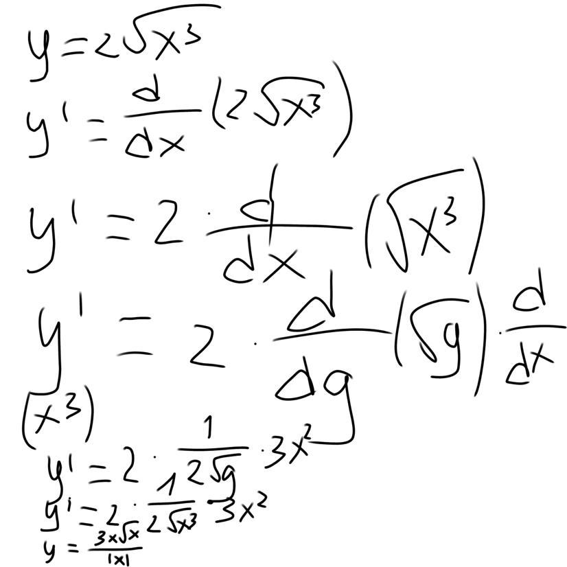
Найдите производные в этой функции
y=2√x^3

Ответы

Ответ дал: gahsisi
0
Учись хорошо))) если что непонятно, пиши!!’
Приложения:
Вас заинтересует