• Предмет: Алгебра
  • Автор: estudiante23
  • Вопрос задан 7 лет назад

Помогите пожалуйста.

Приложения:

Ответы

Ответ дал: sofiasemenovna100
0

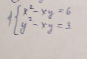
Ответ:

(2;-1), (-2;1)

Объяснение:

решение на фото............

Приложения:
Вас заинтересует