• Предмет: Математика
  • Автор: lera09549
  • Вопрос задан 7 лет назад

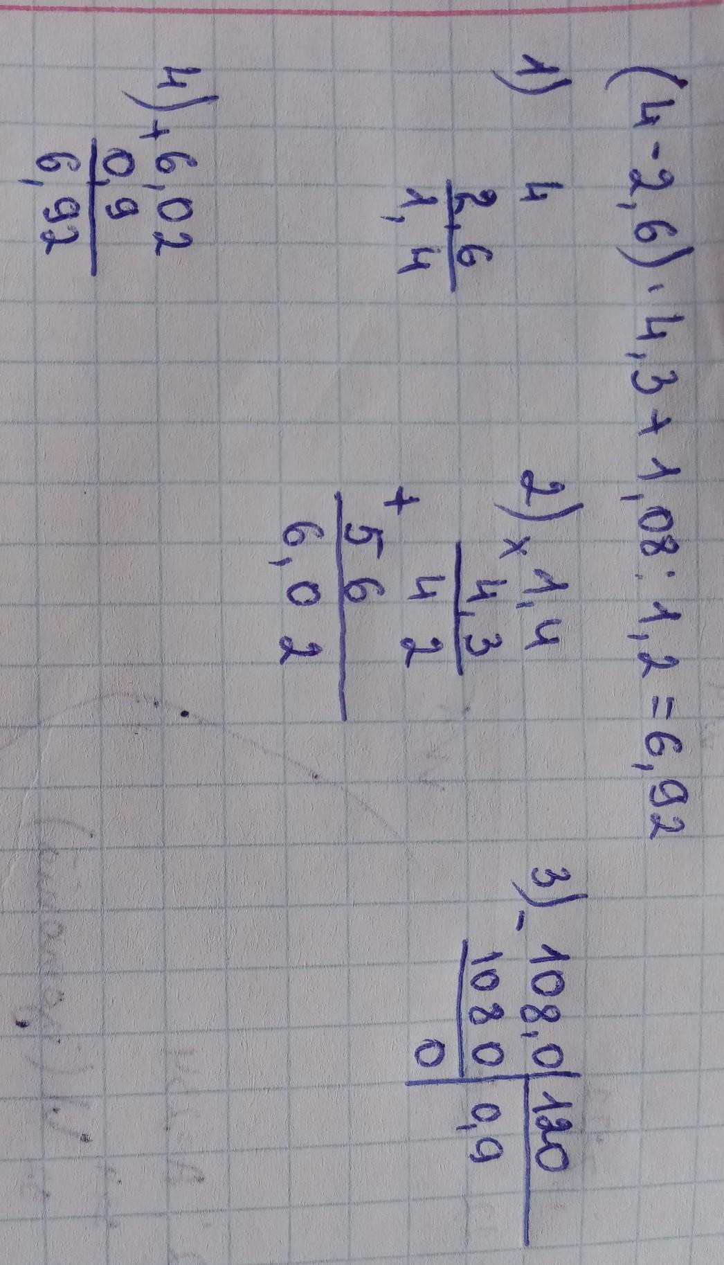
Найди значение выражения (4-2,6)*4,3+1,08:1,2 в столбик

Ответы

Ответ дал: lololeg745
0

Ответ:

1)4-2=2

2)2×4=8

3)8+1=9

4)9:1=9

Пошаговое объяснение:

если что то я не так сделал прости если что невозможно делать в столбик...

Ответ дал: lydmylakr
0

Пошаговое объяснение:

Ось так нібито, ;)..................

Приложения:
Вас заинтересует