• Предмет: Математика
  • Автор: Аноним
  • Вопрос задан 7 лет назад

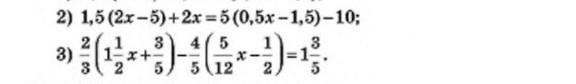
ПОМОГИТЕ ПРОШУ ВАС СРОЧНО 3 задание 2 не надо​

Приложения:

Ответы

Ответ дал: Аноним
0

\displaystyle \frac{2}3}(1\frac{1}{2}x+\frac{3}{5})-\frac{4}5}(\frac{5}{12}x-\frac{1}{2})=1\frac{3}{5}\\ \\\frac{2}{3}(\frac{3}{2}x+\frac{3}{5})-\frac{1}{3}x+\frac{2}{5}=\frac{8}{5}\\ \\x+\frac{2}{5}-\frac{1}{3}x+\frac{2}{5}=\frac{8}{5}\\ \\x+\frac{4}{5}-\frac{1}{3}x=\frac{8}{5}\\ \\15x+12-5x=24\\ 10x+12=24\\ 10x=24-12\\ 10x=12\\ \\x=\frac{6}{5}=1\frac{1}{5}=1,2


Аноним: А где перевод можно?
Аноним: \begin{gathered}\displaystyle \frac{2}3}(1\frac{1}{2}x+\frac{3}{5})-\frac{4}5}(\frac{5}{12}x-\frac{1}{2})=1\frac{3}{5}\\ \\\frac{2}{3}(\frac{3}{2}x+\frac{3}{5})-\frac{1}{3}x+\frac{2}{5}=\frac{8}{5}\\ \\x+\frac{2}{5}-\frac{1}{3}x+\frac{2}{5}=\frac{8}{5}\\ \\x+\frac{4}{5}-\frac{1}{3}x=\frac{8}{5}\\ \\15x+12-5x=24\\ 10x+12=24\\ 10x=24-12\\ 10x=12\\ \\x=\frac{6}{5}=1\frac{1}{5}=1,2\end{gathered}
Вас заинтересует