• Предмет: Физика
  • Автор: vladarad09
  • Вопрос задан 7 лет назад

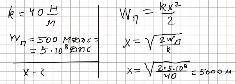
Жорсткість пружини шкільного динамометра становить 40 Н/м. Чому дорівнює її видовження, якщо потенціальна енергія пружної деформації 500 МДж?​


zybkov1950: "500 МДж???- помилка",пружина шкільного динамометра не може мати такої величезної енергії і на км розтягатися!

Ответы

Ответ дал: 1nfolL
4

Ответ:

Е=kx²/2
x²=2E/k
x²=2*500000000/40=1000000000/40=25000000
x=√25000000=5000см

Объяснение:


vladarad09: Дякую!!!!
1nfolL: Будь ласка.Тільки там не 5000см,а 5000м.
Ответ дал: zybkov1950
1

Відповідь: 5000 м

Пояснення:

Приложения:
Вас заинтересует