• Предмет: Математика
  • Автор: tema132111
  • Вопрос задан 7 лет назад

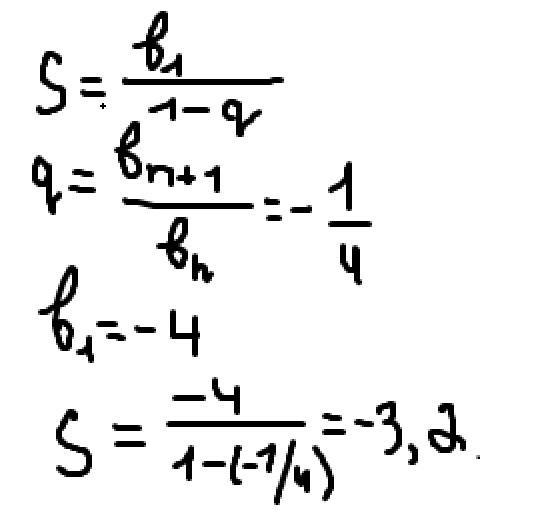
Найдите сумму бесконечной геометрической прогрессии -4,1,-1/4,....

Ответы

Ответ дал: yevheniiavz
1

...........................

Приложения:
Вас заинтересует