• Предмет: Математика
  • Автор: nikita12042011
  • Вопрос задан 7 лет назад

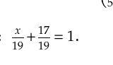
Пж решите пример быстее

Приложения:

Ответы

Ответ дал: GogoliooonHelpDz
0

Ответ: 2

Пошаговое объяснение: 1

Вас заинтересует