• Предмет: Алгебра
  • Автор: ivanova33221111
  • Вопрос задан 7 лет назад

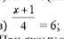
Помогите пж.Розв'яжіть рівняня

Приложения:

Ответы

Ответ дал: oleksyukekaterina31
1

ответ на фото…………………….

Приложения:
Вас заинтересует