• Предмет: Математика
  • Автор: lisenkoooannaaa
  • Вопрос задан 7 лет назад

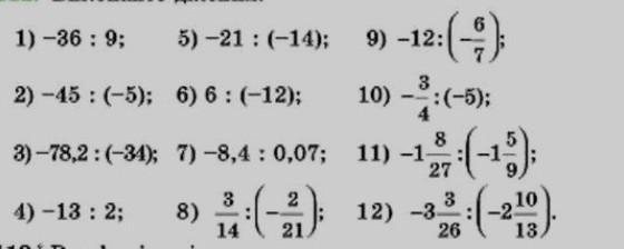
Допоможіть будь ласка!!!!!! Виканайте ділення​

Приложения:

ivaskivmarana: 1. 6

2.)9

3.) 2,3

4.) 6,5

5.)=-7×3:-7×2=3:2=1,5

6.)0,5

7.)120

8.)0

9.)14

Ответы

Ответ дал: 7katenow7
0

Ответ:

1)-6

2)9

3)2,3

4)-6,5

5)=-7*3:-7*2=3:2=1,5

6)-0,5

7)-120

8)0

9)14

Пошаговое объяснение:

Вас заинтересует