• Предмет: Алгебра
  • Автор: sacksshqsmcaca1743
  • Вопрос задан 7 лет назад

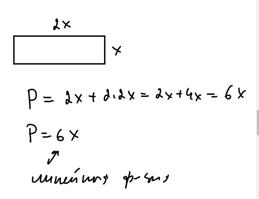
Дан треугольник. Его ширина равна x см, а длина в два раза больше ширины. Выбери формулу описывающую зависимость периметра данного треугольника от его ширины Ответь на вопрос, является ли данные зависимость линейной функцией?

P=6x

P=2x2

P=x+2

P=x2+4

Ответы

Ответ дал: Гурлей
1

Ответ:

см приложение

Объяснение:

Приложения:
Вас заинтересует